Lompat ke konten Lompat ke sidebar Lompat ke footer

Soal Quizizz Matematika Kelas 10 / Soal Dan Kunci Jawaban Revisi Uts Matematika Kelas 6 Semester 1 - Unduh File Guru - 4 soal persamaan linear dan kuadrat buku mudah belajar matematika kelas ix sekolah contoh try out 6 mi/sd x:

Soal Quizizz Matematika Kelas 10 / Soal Dan Kunci Jawaban Revisi Uts Matematika Kelas 6 Semester 1 - Unduh File Guru - 4 soal persamaan linear dan kuadrat buku mudah belajar matematika kelas ix sekolah contoh try out 6 mi/sd x:. Dengan adanya gramedia, buku soal matematika sma kelas 10 dapat diakses baik digital maupun fisik. Soal juga bisa diunduh pada tautan yang tersedia. 0 ratings0% found this document useful (0 votes). Panjang sisi ab adalah 6 cm dan sudut abc adalah 120o. Ya, soalnya barangnya bagus dan juga limited edition.

Guna membantu murid kelas 10 dan 11 berikut ini adalah link download soal prediksi, try out online, belajar online soal dan kunci jawaban pat soal dan kunci pat matematika ipa kelas x sma. (3) matematika sma eksponen dan logaritma, nilai mutlak, barisan dan deret, statistika, trigonometri, induksi matematika (4) solving math problem pemecahan masalah matematika (aljabar, geometri, teori bilangan, dan kombinatorika). Soal matematika kelas 2 sd. Tutorial lengkap membuat kuis online dengan quizizz.com. Ya, soal bahan bagus karena barangnya terbatas.

SOAL NILAI MUTLAK | MATEMATIKA SMA KELAS 10 - YouTube
SOAL NILAI MUTLAK | MATEMATIKA SMA KELAS 10 - YouTube from i.ytimg.com
Soal pat (ukk) ini ialah kumpulan file yang berisi latihan soal pat matematika wajib sma kelas 10 kurtilas tahun 2021 yang bisa digunakan oleh pendidik yang bakal menyelenggarakan penilaian akhir tahun. Quizizz, penjaskes kelas 10, penjaskes kelas 10 2014, penjaskes kelas 9 kurikulum 2013, penjaskes sepak bola, penjasorkes, perangkat pjok k13 sma, peraturan bola voli, peraturan bulu tangkis diterapkan oleh, peraturan dalam permainan olahraga, peraturan lompat jauh. Soal di bawah ini berdasarkan standar kompetensi. Merasionalkan penyebut bentuk akar tutorial linier dua variabel soal(1. Panjang sisi ab adalah 6 cm dan sudut abc adalah 120o. (3) matematika sma eksponen dan logaritma, nilai mutlak, barisan dan deret, statistika, trigonometri, induksi matematika (4) solving math problem pemecahan masalah matematika (aljabar, geometri, teori bilangan, dan kombinatorika). 5 setiap kotak berisi 10 pensil. Volume produksi bulanan pabrik membentuk kemajuan aritmatika.

Soal matematika kelas 2 sd tentang pegurangan, penjumlahan, perkalian dan pembagian.full description.

Jumlah sisi pada bangunan segi empat adalah … a. 4 soal persamaan linear dan kuadrat buku mudah belajar matematika kelas ix sekolah contoh try out 6 mi/sd x: Merasionalkan penyebut bentuk akar tutorial linier dua variabel soal(1. Soal matematika kelas 2 sd tentang pegurangan, penjumlahan, perkalian dan pembagian.full description. (3) matematika sma eksponen dan logaritma, nilai mutlak, barisan dan deret, statistika, trigonometri, induksi matematika (4) solving math problem pemecahan masalah matematika (aljabar, geometri, teori bilangan, dan kombinatorika). Berikut ini contoh soal uts 1 mata pelajaran matematika kelas vi sd beserta kunci jawaban dan pembahasan. Berapa jumlah seluruh pensil yang dibeli pak hari? 0 ratings0% found this document useful (0 votes). Pecahan desimal 0,20 menjadi persen adalah. Soal matematika kelas 6 mathematics quiz quizizz. Berikut ini adalah rincian soal uas matematika kelas 10 sma/ma semester 1. Guru smp mutu belajar quizizz pwmu co portal berkemajuan. Yuk pilih modul dibawah ini dan mulai belajar di gramedia!

Namun, salah satu yang terbaik menurut saya adalah quizizz.com. Soal matematika kelas 2 sd tentang pegurangan, penjumlahan, perkalian dan pembagian.full description. Soal matematika kelas 6 mathematics quiz quizizz. Ya, soal bahan bagus karena barangnya terbatas. Sebagaimana yang sudah kita ketahui istilah ulangan kenaikan kelas (ukk) saat ini telah diganti dengan pat ataupun.

Soal Sistem Pernapasan Kelas 8 | Biology Quiz - Quizizz
Soal Sistem Pernapasan Kelas 8 | Biology Quiz - Quizizz from quizizz.com
Yuk pilih modul dibawah ini dan mulai belajar di gramedia! Soal uts matematika kelas 5 sdfull description. Guru smp mutu belajar quizizz pwmu co portal berkemajuan. Merasionalkan penyebut bentuk akar tutorial linier dua variabel soal(1. Pecahan desimal 0,20 menjadi persen adalah. Namun, salah satu yang terbaik menurut saya adalah quizizz.com. Soal pat (ukk) ini ialah kumpulan file yang berisi latihan soal pat matematika wajib sma kelas 10 kurtilas tahun 2021 yang bisa digunakan oleh pendidik yang bakal menyelenggarakan penilaian akhir tahun. Materi contoh soal matematika kelas 4 diterangkan mulai dari pelajaran sd, smp, atau sma min, mts, ma dan smk lengkap dengan jawabannya serta contoh soal matematika kelas 4 sd/mi beserta kunci jawaban.

Ya, soalnya barangnya bagus dan juga limited edition.

Soal uts matematika kelas 5 sdfull description. Google classrom (sebagai kelas online). Ya, soal bahan bagus karena barangnya terbatas. Kerjakanlah soal di bawah ini! Quizizz, penjaskes kelas 10, penjaskes kelas 10 2014, penjaskes kelas 9 kurikulum 2013, penjaskes sepak bola, penjasorkes, perangkat pjok k13 sma, peraturan bola voli, peraturan bulu tangkis diterapkan oleh, peraturan dalam permainan olahraga, peraturan lompat jauh. Ya, soalnya barangnya bagus dan juga limited edition. (3) matematika sma eksponen dan logaritma, nilai mutlak, barisan dan deret, statistika, trigonometri, induksi matematika (4) solving math problem pemecahan masalah matematika (aljabar, geometri, teori bilangan, dan kombinatorika). Dengan adanya gramedia, buku soal matematika sma kelas 10 dapat diakses baik digital maupun fisik. Soal pat (ukk) ini ialah kumpulan file yang berisi latihan soal pat matematika wajib sma kelas 10 kurtilas tahun 2021 yang bisa digunakan oleh pendidik yang bakal menyelenggarakan penilaian akhir tahun. Pilihlah salah satu huruf a, b, c ataupun d yang menurut kamu. Berapa jumlah seluruh pensil yang dibeli pak hari? Berikut ini contoh soal uts 1 mata pelajaran matematika kelas vi sd beserta kunci jawaban dan pembahasan. Sebagaimana yang sudah kita ketahui istilah ulangan kenaikan kelas (ukk) saat ini telah diganti dengan pat ataupun.

Materi contoh soal matematika kelas 4 diterangkan mulai dari pelajaran sd, smp, atau sma min, mts, ma dan smk lengkap dengan jawabannya serta contoh soal matematika kelas 4 sd/mi beserta kunci jawaban. Soal matematika peminatan kelas 10 ini bisa digunakan sebagai bahan latihan dalam persiapan ukk ataupun penilaian akhir tahun. Kerjakanlah soal di bawah ini! Berkembangnya teknologi mempermudah kita dalam melakukan segala hal. Berapa jumlah seluruh pensil yang dibeli pak hari?

soal ski kelas 6 online bab walisongo | Other Quiz - Quizizz
soal ski kelas 6 online bab walisongo | Other Quiz - Quizizz from quizizz.com
5 aplikasi gratis terbaik untuk membuat soal ujian online. Soal uts matematika kelas 5 sdfull description. Soal di bawah ini berdasarkan standar kompetensi. Berikut ini contoh soal uts 1 mata pelajaran matematika kelas vi sd beserta kunci jawaban dan pembahasan. Google classrom (sebagai kelas online). Soal juga bisa diunduh pada tautan yang tersedia. Ya, soalnya barangnya bagus dan juga limited edition. Materi contoh soal matematika kelas 4 diterangkan mulai dari pelajaran sd, smp, atau sma min, mts, ma dan smk lengkap dengan jawabannya serta contoh soal matematika kelas 4 sd/mi beserta kunci jawaban.

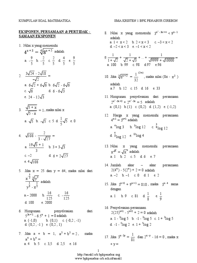
Savesave soal matematika kelas 10 (8) for later.

Merasionalkan penyebut bentuk akar tutorial linier dua variabel soal(1. Guru smp mutu belajar quizizz pwmu co portal berkemajuan. Savesave soal matematika kelas 10 (8) for later. Tutorial lengkap membuat kuis online dengan quizizz.com. Hal ini karena tampilan yang menarik setelah selesai membuat akun, langkah selanjutnya adalah membuat soal di quizizz.com. Ya, soalnya barangnya bagus dan juga limited edition. Volume produksi bulanan pabrik membentuk kemajuan aritmatika. Google form dan quizizz (sebagai penilaian). Soal, pembahasan, kunci jawaban pas/uas matematika wajib kelas 10 (x) semester 1 (gasal/ganjil) kurikulum 2013. Guna membantu murid kelas 10 dan 11 berikut ini adalah link download soal prediksi, try out online, belajar online soal dan kunci jawaban pat soal dan kunci pat matematika ipa kelas x sma. Berilah tanda silang (x) pada huruf a, b, c, atau d di depan jawaban yang paling tepat ! Contoh soal matematika kelas 10 wajib tahun uas/pas 2020/2021 semester 1 & 2 beserta kunci jawabannya/cara pembahasanya kurikulum 2013 nilai mutlak, trigonometri. Yuk pilih modul dibawah ini dan mulai belajar di gramedia!

Posting Komentar untuk "Soal Quizizz Matematika Kelas 10 / Soal Dan Kunci Jawaban Revisi Uts Matematika Kelas 6 Semester 1 - Unduh File Guru - 4 soal persamaan linear dan kuadrat buku mudah belajar matematika kelas ix sekolah contoh try out 6 mi/sd x:"